Seminar by Prof.Jean-Pierre Eckmann "A mysterious blowup in cosmological effective field theories"
Date
Location
Description
<Date>
October 10 (Fri), 2025
10:00-11:00 Seminar
11:00-11:20 Q&A
<Speaker>
Prof.Jean-Pierre Eckmann, Professor Emeritus, University of Geneva
<Title>
A mysterious blowup in cosmological effective field theories
<Abstract>
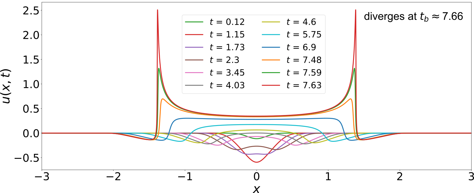
This is work with Farbod Hassani and Hatem Zaag.
In certain cosmological theories, solutions of the equation (1-d)
$$
u_{tt}=\alpha u_{xx} + \beta (u_x)^2
$$
diverge in finite time. I will explain some results about this equation.
I learned a lot from Farbod about cosmology, and from Hatem on how to study such equations. However, we failed to understand the diverging profile. If time permits, I will explain the ideas of Merle and Zaag, which seem to be used for our equation by Ghoul, Liu, and Masmoudi.
But I am not sure these methods solve the physicists' questions. (For the experts: In the cosmological context, one is not allowed to scale the initial condition, since it is given by background conditions.)

Subscribe to the OIST Calendar: Right-click to download, then open in your calendar application.

